现阶段成果
数据集

模型

对比
单站点对比
时间曲线折线图

子区域对比
采用区域降尺度的方法,从全球范围内选择若干个感兴趣的子区域进行对比。
-
选择的子区域

-
偏差等值线图

-
子区域年度时间曲线折线图

-
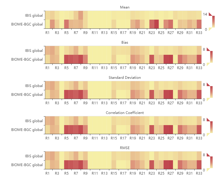
子区域统计指标热力图

拟采用的其他对比方法
其他对比方法有泰勒图、偏差等值线图、子区域偏差图、箱图等。由于手头数据有限,还没有开展。

下一步的计划,平台的未来规划
- 建立一个标准变量表,对应模型的输入输出项的标准名称、单位、物理含义、合理的值域范围等 variable, standard name, long name, units, description, uid
- 界面上对调参的暴露,让用户可以在线配参数(计算量太大,所以现阶段没有暴露)
- 对比案例的进一步制定
需求
- 模拟输入数据
- IBIS 的输入数据
- 站点的物理常量数据:土壤深度、沙含量、淤泥含量、黏土含量、高程、经纬度、短波反射率、大气氮沉降等。这一部分数据我们手头有处理后的数据,但是如果能提供原始的NetCDF数据的话更好,可以充实数据集条目的数量,而且展示效果更好。
- 植被类型数据:Biome-BGC 模型将植被类型划分成常绿灌木、常绿针叶林、常绿阔叶林、落叶阔叶林、草地等类型,需要全球的植被类型数据。
- 观测数据:
- 碳循环相关的数据:GPP, NPP, NEP, Biomass, 生态系统呼吸
- 水循环相关的数据:ET, 径流
- 其他数据
- 接入 MODIS MOD17A3、MOD15A2、CRUT3v、CN05 的数据作为对比
- fluxdata 网站上的数据接入(已经下载好了,但还不太清楚数据结构)
- 模型输出项的修改 目前 IBIS 模型的输出项比较有限,不知道是否是因为手头上的模型不完整:
| Model | Output |
|---|---|
| IBIS | daily: npp, No3inc, N_stress, N_availability, wfps, N_uptake_capacity, cTon_pro, ftemp annual: gpp(total or average?), co2mic, nee, aet, lai, gpp |
| Biome-BGC | 646个输出项,包括有常用的比如:gpp, npp, nep, nee, hr, et, lai, co2 等。 输出分为 daily-output, annual-average, monthly-average |
疑问
- IBIS 模型的 spinup 参数该怎么确定,计算全球范围时怎么给每个站点设置合适的 spinup 次数?
- 为什么不推荐使用官网的 IBIS2.6b4 那一版本算,是因为性能的原因吗?
- IBIS 和 Biome-BGC 两个模型的哪些关键参数需要暴露出来?
- 对比案例的详细制定:对比区域、尺度、时间范围、要素等
- 为什么输入数据是 0.5°*0.5°,并且有些陆地点是空的?(掩膜以后分割?)
- 从单站点到全球范围,是怎么处理数据的?(插值?直接拼成NetCDF?)
- 对比方法上面还有哪些常用的需要做?
- Fluxdata, MODIS 的数据处理方式
几个参考的组织和项目
- C-LAMP
- Regional Climate Model Evaluation System (RCMES)
- Program for Climate Model Diagnosis & Intercomparison (PCMDI)
- 模型对比项目列表
- CMIP6-Endorsed MIPs
- input4MIPs
- obs4MIPs
- CF Conventions and Metadata
- ESGF
架构调整
- topic:对比领域
- experiment protocol
- solution(include multi experiment protocol):包括常用的实验
- task:里面选择参加的 experiments